用語集
ワーキングディスタンス(WD)
物体面からレンズの先端までの距離
フランジバック(FB)
レンズの取付面(フラン
ジ)から像面までの距離
(代表値)
Fマウント:46.5mm(ニコン用レンズ)
Kマウント:45.46mm(ペンタックス用レンズ)
Cマウント:17.53mm
イメージサークル
像面に結像できる範囲(撮影可能な範囲)を径(Φ)で表します。
レンズを選定するときに、CCDの領域に外接する円の大きさ以上のイメージサークルを持った
レンズを選ぶ必要があります。
同様の意味合いで許容CCDサイズなどで現される場合もあります。
撮影距離
物体面から像面までの距離
とくにカメラ用レンズを用いたときに最短で撮影できる距離のことを最短撮影距離と
いいます。
画角
画面上に鮮鋭な画像として写し込むことができる範囲を角度で表したものです。
前側焦点、後側焦点
平行な光束を入射したときに収束する点
前側主点、後側主点
焦点からレンズ側に向かって焦点距離 f だけ離れた位置
レンズの明るさ

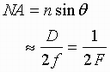
F値
主に写真レンズ等のレンズの明るさを表す値であり、レンズの焦点距離 f を無限遠から入
射する
光線の有効光束の直径 D (有効径、レンズに入射可能な平行光の直径)で割った値で定義されます。

像の明るさは直径Dの円の面積に比例(Dの2乗に比例)することから、F値の逆数の2乗に比例します。

開口数(NA[Numerical Aperture])
主に顕微鏡の対物レンズ等のレンズの明るさを表す値であり、屈折率(n)と主軸と周縁光線
とのなす角(θ)を
用いて表されます。
