レンズ設定距離の計算
レンズ設定距離の計算
レンズ設定距離の計算では一般的に下図のように薄肉レンズのモデル
(前側主点と後側主点の位置が一致)が用いられます。
また、物体距離aの値にはワーキングディスタンス(WD)を
代用する場合が多いようです。
そのため、正確な計算結果とはならないことに注意が必要です。

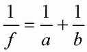
レンズの公式と倍率
計算に必要なのは、以下のレンズの公式と倍率の計算式です。
レンズの公式

  
  倍率
      
      
必要に応じて以下の様に式を変形し、値を求めます。

      計算例
    
    
	画像数640×480画素、画素サイズ7.5×7.5μmのカメラを用い、
視野幅100mm、ワーキングディスタンス300mmで撮影を行いたい場合のレンズの選定設定条件式は
    物体の大きさ(視野幅)=L =100mm
    像の大きさ(センサ幅)=? =640×7.5μm
                  =4.8mm
    物体距離a≒ワーキングディスタンス=300mm 
    
            
    
    これより、焦点距離が13.7mmに近いレンズを選定します。